- 脑瘫研究新进展:脐带血治疗脑瘫安全有效,“慢天使”的新希望!
- 来源: 成体干细胞国家地方实验室 时间:2018-04-23
脑瘫(Cerebral Palsy)是一种常见的残疾,一般是由出生前或分娩过程中发生的脑损伤引起,脑瘫患儿也被人称为“慢天使”。
美国脑瘫患儿有 75 万,患病率大约 2.5 ‰ 。日本脑瘫患病率 1.5 ‰,丹麦 2.08 ‰,挪威 2.34 ‰,英国 1.8 - 5 ‰;在中国 0 - 6 岁儿童的脑瘫患病率为 1.8 - 4 ‰,并以每年 4.6 万的速度递增。有资料报道:目前我国约有 77 - 175 万脑瘫患者。

一般脑瘫出生前因素占 15 - 20%,围生期因素占 60 - 70%,出生后因素占 15 - 20% 。窒息、低体重儿、重症黄疸为脑瘫的三大主要致病因素。
很多人以为,随着医学不断发展,社会不断进步,脑瘫的发病应该会减少。而实际上,更多的早产儿、低体重儿因为医学的进步得以存活,加上高龄产妇的增加,我国的脑瘫发病率并没有降低。
脑瘫的主要症状有:运动发育落后,肌张力异常,姿势异常,神经反射异常。

脑瘫按严重程度分为轻度,中度,重度或无症状;按运动障碍性质分为痉挛型和非痉挛型;按粗大运动功能评估结果分为 1 - 5 级;按受影响的肢体部位分为单瘫、偏瘫、双瘫和四肢瘫痪。

脑瘫按肢体分类
虽然出现了多种新技术帮助脑瘫患者的治疗,但目前脑瘫还主要依赖于康复治疗,大部分患儿还需要先接受外科手术治疗。
脐带血治疗脑瘫:给“慢天使”一个新的希望
近年来,脐带血在脑瘫等神经系统疾病的治疗领域取得一定成效,为这类疾病的治疗提供了一种新的治疗手段。
2018年4月,西安交通大学医学院神经生物学研究所吕海侠教授在细胞移植期刊(Cell Transplantation)上发表了一篇研究成果:一项随机、安慰剂对照的脐带血干细胞输注治疗脑瘫患儿的临床研究,其结果显示脐带血治疗组患儿的症状改善程度显著优于对照组。
这项临床研究入组了54名患儿,平均分为两组。治疗组的27人在大约一个月内接受了4次脐带血干细胞输注(单次细胞量为5x10^7,每次间隔7天),而对照组的27人输注的是0.9%生理盐水。两组受试者均同时接受基础康复治疗。
完成输注治疗后,54名患儿分别在3、6、12、24个月的时候接受随访观察。

表1 临床试验开始时患者统计学数据
从表1可以看出,脐带血治疗组和对照组之间的入组情况是均衡的。
无论是患儿的平均年龄和不同年龄区间分布,还是出生体重、早产儿占比、男性占比、临床试验前已接受康复治疗的患儿占比,两个组之间都无明显差异。

表2 不良事件记录
不良事件是受试者在接受治疗或研究时所发生的、未能预见的医疗事件,与所用药物或治疗不一定存在因果关系。
从此项临床试验的不良事件记录来看,两组患儿发生的不良事件大部分都是轻微级别,无严重不良事件,脐带血输注治疗脑瘫是安全的。

图1 粗大运动功能评分改善情况
粗大运动功能测试评分(GMFM-88)的结果显示,脐带血治疗组显著优于对照组,4次随访的差异明显(P<0.01为有显著统计学差异),且随着时间的推移有进一步扩大差距的趋势。

图2 粗大功能评分分项改善情况
从粗大功能评分分项改善情况可以看出,相对于安慰剂对照组,脐带血治疗组的行走、跑跳、爬行屈膝等功能改善更加明显,且随着时间的推移有进一步扩大差距的趋势。而站、坐、躺和翻身功能同样也有不同程度的改善。

图3 综合功能评分改善情况
综合功能评分(CFA)结果表明,脐带血治疗组同样显著优于对照组,4次随访的差异明显(P<0.01),且随着时间的推移有进一步扩大差距的趋势。

图4 综合功能评分分项改善情况
从综合功能评分分项的结果同样可以得出结论,脐带血治疗组的自理能力、社会适应能力、语言能力、运动能力和认知能力相对于安慰剂对照组有更加明显的改善,并且随着时间的推移有进一步扩大差距的趋势。
除了GMFM-88评分和CFA评分的明显改善,脑电背景活动减慢的患者在接受脐带血输注治疗后,研究者也观察到弥漫性慢波活动的减少。
总的来说,吕海侠教授这项为期两年的临床试验证实了脐带血干细胞治疗脑瘫是安全的,效果也非常显著。脐带血干细胞在脑瘫等神经系统疾病等领域的应用前景值得我们期待。
实际上,在国外也有大量类似的研究开展。仅在美国国立卫生研究院临床试验数据信息库(clinicaltrial.gov)上登记的脐带血治疗脑瘫临床试验就有19个。
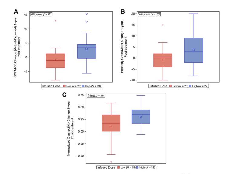
美国杜克大学Robertson临床和转化细胞治疗项目的首席医学官兼科学家Joanne Kurtzberg一直是脐带血应用领域的先驱,她主持了一项自体脐带血治疗脑瘫的临床试验。(ClinicalTrials注册号:NCT01147653)

低剂量组
高剂量组
治疗1年后 A:GMFM-66 改变,B:PDMS-2 改变,C:大脑连接改变
同样为期两年的这项临床试验结果显示,脑瘫患儿的改善情况与脐带血输注剂量存在一定关系。剂量超过每公斤2.5x10^7的受试者,静脉输注自体脐带血一年后的恢复情况超出了预期,运动功能获得改善。
而吕海侠教授的这项研究中,脐带血治疗组输注了4次,剂量更接近于Kurtzberg教授所开展研究中的高剂量组。
此次临床研究,如果研究者能再将年龄因素、接受治疗时的体重因素结合分析,也许将对其他学者的研究更有启发作用。
